Skip to main content
Skip to main navigation menu
Skip to site footer
Open Menu
Functional Foods in Health and Disease - Online ISSN: 2160-3855; Print ISSN: 2378-7007
Home
Food Science Publisher
Functional Food Center
Current
Archives
About
About the Journal
Aims and Scope
Contact
Editing Services
Editorial Team
Express Peer Review
Graphical Abstract
Journal Insights
Privacy Statement
Submissions
Announcements
Search
Search
Register
Login
Home
/
Archives
/
Vol. 10 No. 6 (2020): June 2020
Vol. 10 No. 6 (2020): June 2020
Published:
2020-06-12
Research Articles
Inhibitory effect of black raspberry extract on AGE accumulation and degradation, and ROS production in HUVEC cells
Katsuaki Dan, Atsushi Takada, Yasunori Kanaho, Yuko Kusumi, Harutaka Banno
242-253
[Abstract]
[Full Article]
[Figure 1]
[Figure 2 a, b]
[Figure 2 c, d]
[Figure 2 e, f]
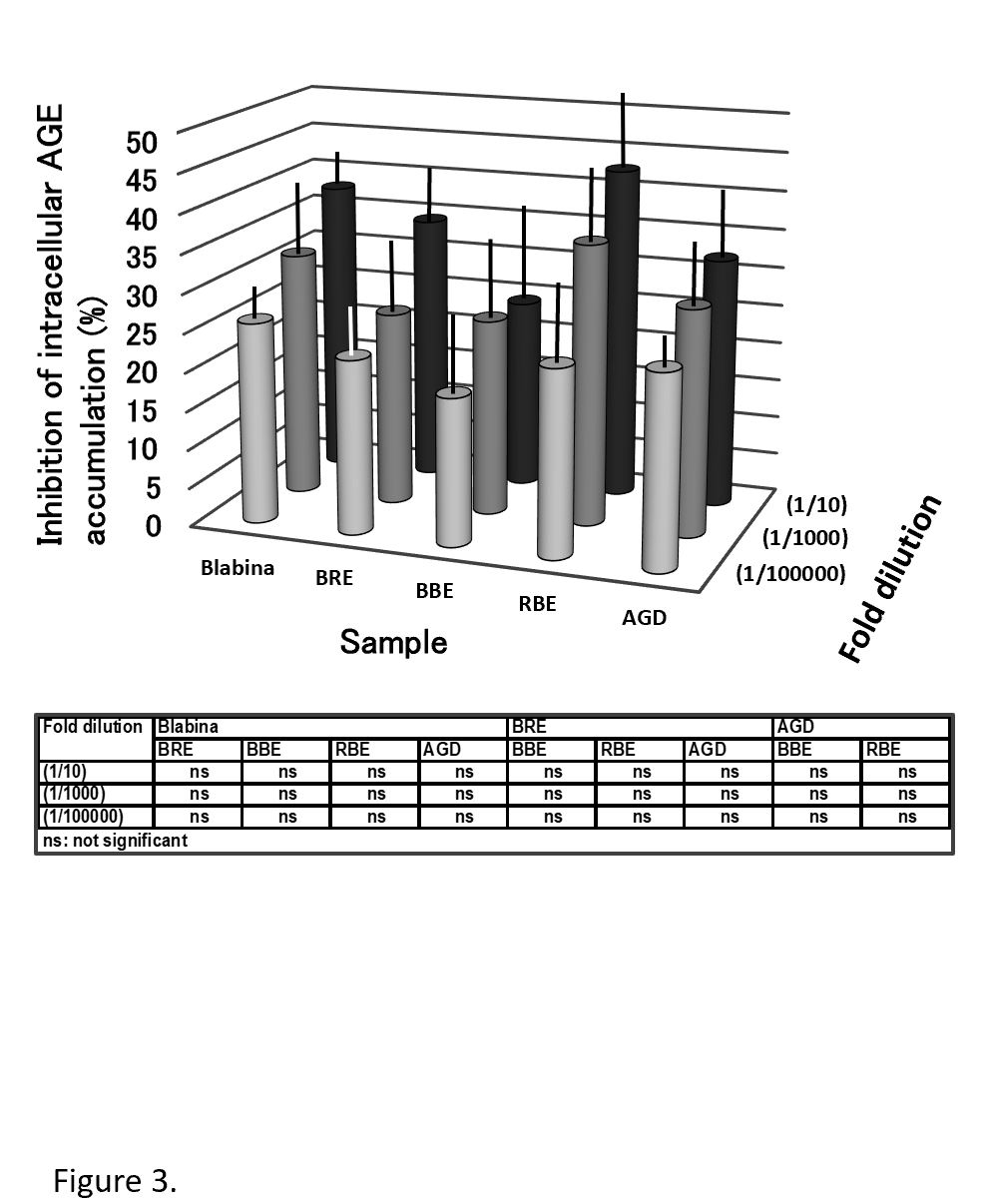
[Figure 3]
[Figure 4]
[Figure 5]
[Figure 6]
[Figure 7]
Untitled
Figure 2 E F
Untitled
Screening of the antimicrobial activity of some extracts of edible wild plants in Morocco
Abdelghani Aboukhalaf, Belkassem El Amraoui, Manal Tabatou, João Miguel Ferreira da Rocha, Rekia Belahsen
265-273
[Abstract]
[Full Article]
Review Articles
A review of Kurozu, amber rice vinegar made in pottery jars
Yoshihiko Shibayama, Hiroaki Kanouchi, Akira Fujii, Masanobu Nagano
254-264
[Abstract]
[Full Article]
[Figure 3]
[Figure 4]